The full dataset viewer is not available (click to read why). Only showing a preview of the rows.
Error code: CreateCommitError
Need help to make the dataset viewer work? Make sure to review how to configure the dataset viewer, and open a discussion for direct support.
text string | id string | dump string | url string | date string | file_path string | language string | language_score float64 | language_script string | minhash_cluster_size int64 | top_langs string |
|---|---|---|---|---|---|---|---|---|---|---|
Luke 12:48
48Baise akir wairafin ana orot ukwarin abisa sinafumih kokok i men so’ob, naatu isisinaf kwanekwan biyababan enunuwih boro au hamenamo hinawabir biyan nababan. Sabuw iyab sawar gagamin na’in tebaib, i na’atube sawar gagamin na’in boro wan hinay maiye. Orot yait gagamin anababatun tibitin i auman boro gagamin... | <urn:uuid:f7ef49fc-6899-4d56-aaa7-bea5924802f3> | CC-MAIN-2016-40 | http://bibles.org/aai-AAINT/Luke/12/48 | 2016-09-26T14:00:54Z | s3://commoncrawl/crawl-data/CC-MAIN-2016-40/segments/1474738660801.77/warc/CC-MAIN-20160924173740-00144-ip-10-143-35-109.ec2.internal.warc.gz | aai | 1.000009 | Latn | 14 | {} |
John 18
Jesu Hifatum
1Jesu yoyoban sasawar ufunamaim ana bai’ufnunenayah bairi efan nati hihamiy hin Kidron Kwaf hirabon. Nati’imaim i masaw ta, imaim Jesu ana bai’ufnunenayah bairi ten tema’am. 2Judas yanuwayan menamaim hima’am i so’ob, anayabin Jesu anabai’ufununayah bairi mar etei imaim teruru’ay. 3Imih Judas Romans... | <urn:uuid:89b01690-6365-4c2f-a6b4-c051c46633ba> | CC-MAIN-2016-40 | http://bibles.org/aai-AAINT/John/18/ | 2016-10-01T19:01:03Z | s3://commoncrawl/crawl-data/CC-MAIN-2016-40/segments/1474738663202.87/warc/CC-MAIN-20160924173743-00137-ip-10-143-35-109.ec2.internal.warc.gz | aai | 1.000009 | Latn | 30 | {} |
Mark 13
Jesu Tafaror Bar Gurusin Ana Tur Eo
1Jesu Tafaror Bar bihamiy ana veya, ana bai’ufununayah orot ta eo, “Bai’obaiyenayan kwi’itin! Kabay gewagewasin maiyow naatu bar hiwowowab ana’itin gewasin maiyow.”
2-Jesu iya’afut eo, “Iti bar gagamin kwi’i’itin boro men kafa’imo kabay ta ana efanamaim kwana’itinimih, etei b... | <urn:uuid:cc113acb-2849-457c-9bb2-2c8beaab67d0> | CC-MAIN-2016-40 | http://bibles.org/aai-AAINT/Mark/13/ | 2016-09-27T07:07:28Z | s3://commoncrawl/crawl-data/CC-MAIN-2016-40/segments/1474738660992.15/warc/CC-MAIN-20160924173740-00044-ip-10-143-35-109.ec2.internal.warc.gz | aai | 1.000009 | Latn | 27 | {} |
Luke 11
Yoyoban Ana Bai’obaiyen
1Veya ta Jesu efan ta’amaim ma yoyoban inan, ana yoyoban sasawar ufunamaim ana bai’ufununayah orot ta natit eo, “Regah, kwi’obaiyi ana yoyoban, John ana bai’ufununayah bi’obaiyih na’atube.” 2Jesu iuwih eo, “Yoyobanamih iti na’atube kwanayoyoban.
Tamai,
‘A merar ayiy wab kakafiyin abobora... | <urn:uuid:87048672-7e17-40a4-8e7f-9c371b15f61f> | CC-MAIN-2016-40 | http://bibles.org/aai-AAINT/Luke/11/ | 2016-09-25T05:30:13Z | s3://commoncrawl/crawl-data/CC-MAIN-2016-40/segments/1474738659865.46/warc/CC-MAIN-20160924173739-00091-ip-10-143-35-109.ec2.internal.warc.gz | aai | 1.000009 | Latn | 21 | {} |
Mark 2
Jesu Orot Uman Murubin Iyawas.
1Veya bai’ab na’atube sasawar ufunamaim Jesu matabir maiye na ana bar Capernaum titit ana veya, ana tur tasasar tit etei hinowar. 2Naatu sabuw moumurih maiyow hiru’ay bar awan karatan tit in etawan awan auman bai daririr iwa’an. Naatu i busuruf binan hima hinowar. 3Nati ana maramai... | <urn:uuid:57d6fdb4-6b74-46b4-9ceb-33ab171e50cf> | CC-MAIN-2016-40 | http://bibles.org/aai-AAINT/Mark/2/ | 2016-09-28T10:19:03Z | s3://commoncrawl/crawl-data/CC-MAIN-2016-40/segments/1474738661349.6/warc/CC-MAIN-20160924173741-00274-ip-10-143-35-109.ec2.internal.warc.gz | aai | 1.000009 | Latn | 27 | {} |
Acts 16
Timothy, Paul Naatu Silas Bairi Hin
1-Paul remor na Derbe tit imaibo ikofan maiye na Lystra tit, nati’imaim baitumatumayan wabin Timothy ma’am biyan tit, Timothy hinah i Jew babin, baitumatumayan ta, baise tamah i Greek orot. 2-Lystra naatu Ikonium wanawanan baitumatumayah etei Timothy i hibifai. 3Paul kok i Ti... | <urn:uuid:84be5e50-05b9-4f0e-925d-5339ce530dcb> | CC-MAIN-2016-40 | http://bibles.org/aai-AAINT/Acts/16/ | 2016-09-30T13:33:10Z | s3://commoncrawl/crawl-data/CC-MAIN-2016-40/segments/1474738662197.73/warc/CC-MAIN-20160924173742-00281-ip-10-143-35-109.ec2.internal.warc.gz | aai | 1.000008 | Latn | 33 | {} |
Luke 16
Bowayan Orot Kakafin
1Jesu ana bai’ufununayah iuwih eo, “Ana veya ta orot guguw wairafin ana bowayan orot ukwarin sawar kakaifen kakaf isan ana tur nowar. 2Basit orot ukwarin eaf na ibatiy, ‘O a bowabow isan tur anonowar i men gewasin. Ayu akokok a bowabow isan inao gewas ananowar? O a bowabowamaim i esasawar.’... | <urn:uuid:1f4ccabf-8038-4cca-9698-1a852838569b> | CC-MAIN-2016-40 | http://bibles.org/aai-AAINT/Luke/16/ | 2016-09-27T18:58:59Z | s3://commoncrawl/crawl-data/CC-MAIN-2016-40/segments/1474738661155.8/warc/CC-MAIN-20160924173741-00003-ip-10-143-35-109.ec2.internal.warc.gz | aai | 1.000006 | Latn | 31 | {} |
Luke 5
Jesu Ana Bai’ufununayah Wantoro’ot Bubuwih
(Matthew 4.18-22; Mark 1.16-20)
1-Veya ta Jesu Genesaret harew kukuf rewarewan batabat sabuw rou’ay gagamin na’in God ana tur nowaramih hinahinah hina biyan hitit. 2Naatu nati dones yanamaim siy bowayah hai wa rou’ab hitain hiyen hi’inu’in Jesu itah, baise siy bowayah h... | <urn:uuid:a913aa8c-b3d8-404c-9ba8-e9a77602e381> | CC-MAIN-2016-40 | http://bibles.org/aai-AAINT/Luke/5/ | 2016-09-29T05:07:36Z | s3://commoncrawl/crawl-data/CC-MAIN-2016-40/segments/1474738661778.39/warc/CC-MAIN-20160924173741-00013-ip-10-143-35-109.ec2.internal.warc.gz | aai | 1.000008 | Latn | 29 | {} |
John int
Roube’aten Ana Tur
Tur Gewasin John eo’orereb Jesu i God ana Tur wanatowanin na’atube, I orot babin hai tufuwabe tufuw naatu wanawanatamaim ma (1.14). Buk eo na’atube, iti Tur Gewasin hikikirum saise baiyabayah hitiyab hitaso’ob, Jesu i omatan ana Baiyawasenayan God Natun naatu i hai baitumatum wanawananamaim ... | <urn:uuid:cf183e74-16cf-49cd-aecc-e6b864ff9234> | CC-MAIN-2016-40 | http://bibles.org/aai-AAINT/John/int/ | 2016-09-26T08:51:31Z | s3://commoncrawl/crawl-data/CC-MAIN-2016-40/segments/1474738660712.3/warc/CC-MAIN-20160924173740-00181-ip-10-143-35-109.ec2.internal.warc.gz | aai | 1.000009 | Latn | 26 | {} |
Mark 1
John Baptist Ef Yabuna
(Matthew 3.1-12; Luke 3.1-18; John 1.19-28)
1Iti i Tur Gewasin ana busurufin i Jesu Keriso God Natun isan.
2-Ana tur i dinab orot Isaiah kikirum imaim busuruf eo.
“ ‘Ayu boro au tur abarayan o namaim aniyun nan,
i boro o a ef nayabuna.’ 3-Orot ta fanan arar yanamaim eafa’af,
‘Regah ana ef ... | <urn:uuid:f0298fa0-3bae-48be-a4ff-9ba76f8a506b> | CC-MAIN-2016-40 | http://bibles.org/aai-AAINT/Mark/1/ | 2016-09-30T08:25:05Z | s3://commoncrawl/crawl-data/CC-MAIN-2016-40/segments/1474738662133.5/warc/CC-MAIN-20160924173742-00243-ip-10-143-35-109.ec2.internal.warc.gz | aai | 1.000008 | Latn | 30 | {} |
John 5
Harew Kukufamaim Hiyayawas
1Veya bai’ab sawar ufunamaim, Jew hai hiyuw aa isan Jesu yen in Jerusalem. 2Jerusalem wanawanan efan wabin For Hirahir* sisibinamaim i harew kukuf, naatu ana seboseb etei umatroun hiwowaben Aramek fanahimaim tisusu’ub Betsaida, 3nati sebosebomaim sabuw sawusawuwih moumurin maiyow hiya ... | <urn:uuid:60bfcd29-a390-4c70-8fa3-6aaa8586e846> | CC-MAIN-2016-40 | http://bibles.org/aai-AAINT/John/5/ | 2016-10-01T08:46:28Z | s3://commoncrawl/crawl-data/CC-MAIN-2016-40/segments/1474738662698.85/warc/CC-MAIN-20160924173742-00049-ip-10-143-35-109.ec2.internal.warc.gz | aai | 1.000008 | Latn | 24 | {} |
Acts 15
Jerusalemamaim Ekaleisia Hai Ukwarih Hiru’ay
1-Orot afa Judea’ane hire hina Antioch hitit baitumatumayah nati’imaim hima’am hi’obaibiyih hio, “Kwa i Moses ana ofafar eo na’atube a’ar mo’oh hina’afuw kwa boro yawas kwanab.” 2-Paul, Barnabas hairi iti bai’obaiyen isan nati orot bairi higam tur manin maiyow hio, b... | <urn:uuid:3cac2428-dc5d-4b95-94f3-17724b7a9f57> | CC-MAIN-2016-40 | http://bibles.org/aai-AAINT/Acts/15/ | 2016-10-01T19:01:13Z | s3://commoncrawl/crawl-data/CC-MAIN-2016-40/segments/1474738663202.87/warc/CC-MAIN-20160924173743-00250-ip-10-143-35-109.ec2.internal.warc.gz | aai | 1.000008 | Latn | 35 | {} |
Luke 11:42
42Yababan boro gagamin maiyow kwanab, kwa Pharisee sabuw! Anayabin kwa iti mint, rue, naatu adanafur afa God baitinin isan i men nuhi eburubur, mar etei ana mumusin God kwabitin, baise ma gewas naatu God ana yabow isan i nuhi eburubur, gewasin nati sawar i kwati’a’ait sawar afa auman kwatasinaf. | <urn:uuid:a548a57a-5f51-4cd4-8676-4cb3af1e07df> | CC-MAIN-2016-40 | http://bibles.org/aai-AAINT/Luke/11/42 | 2016-09-26T08:51:09Z | s3://commoncrawl/crawl-data/CC-MAIN-2016-40/segments/1474738660712.3/warc/CC-MAIN-20160924173740-00203-ip-10-143-35-109.ec2.internal.warc.gz | aai | 1.000005 | Latn | 12 | {} |
Mark 5
Orot Afiy Kakafih Hitounbubur Ma’am Jesu Iyawas
1Jesu ana bai’ufununayah bairi harew Galilee hirabon hina tafaram Gerasa imaim hitit. 2Jesu wa wanawanan tit bisure auman, mar ta’imonamo orot ta afiy kakafih hitounbubur ma’am rahane tit na biyan tit. 3Iti orot i rahamaim in ma reremor, naatu sabuw murab fokarih a... | <urn:uuid:810a9c71-2bc0-4209-9bfa-293d52a713fd> | CC-MAIN-2016-40 | http://bibles.org/aai-AAINT/Mark/5/ | 2016-09-28T12:03:23Z | s3://commoncrawl/crawl-data/CC-MAIN-2016-40/segments/1474738661367.29/warc/CC-MAIN-20160924173741-00067-ip-10-143-35-109.ec2.internal.warc.gz | aai | 1.000009 | Latn | 38 | {} |
Luke 24
Jesu Morobone Misir Maiye
1Sunday maraumanika baibin raiy hibogaigiwas hi’inu’in hibow hin rah yan hitit. 2Naatu hin rah yan hitit ana veya kabay gagamin Jesu ana hub awan hiya’afut inu’in hifururuw tit hub awan asir inu’in hi’itin. 3Basit wanawanan hirun hin, baise Regah Jesu biyan men hitita’urimih. 4Nati’ima... | <urn:uuid:ea1d966c-e9d6-40d3-a307-d5f38ada9464> | CC-MAIN-2016-40 | http://bibles.org/aai-AAINT/Luke/24/ | 2016-09-26T08:50:14Z | s3://commoncrawl/crawl-data/CC-MAIN-2016-40/segments/1474738660712.3/warc/CC-MAIN-20160924173740-00212-ip-10-143-35-109.ec2.internal.warc.gz | aai | 1.000009 | Latn | 29 | {} |
Acts 20
Paul Ana Nanawan Masedonia Naatu Greek Wanawanahimaim
1Sabuw hibuyuw in sawar nuwarob ea’afuw ufunamaim, Paul bai’ufununayah* etei e’af ayuwih koufair tur itih naatu eo tuturih. Imaibo ihamiyih au Masedonia na’at in. 2Naatu Masedonia ana uman men sanet imaim bar merar ta ta run tit baitumatumayah isah binan kou... | <urn:uuid:7405815b-81bd-4aec-9125-344fc84b95db> | CC-MAIN-2016-40 | http://bibles.org/aai-AAINT/Acts/20/ | 2016-09-26T14:02:09Z | s3://commoncrawl/crawl-data/CC-MAIN-2016-40/segments/1474738660801.77/warc/CC-MAIN-20160924173740-00295-ip-10-143-35-109.ec2.internal.warc.gz | aai | 1.000008 | Latn | 22 | {} |
John 15
Jesu I Ai Anababatun Naatu Famefamen.
1“Ayu i ai an anababatun, naatu Tamai i masaw Matuwan. 2-Ayu famufamu ro’oro’on men ebiw gewas boro na’afuw nisaroun, naatu ro’oro’on ebiw gewas boro famufamu natobubunei saise ro’o’ro’on moumurihika niw naya. 3Kwa i marasika kwaigewasin sawar, anayabin ayu turamaim ao kwan... | <urn:uuid:fa5d1109-cdd7-4263-9eae-97caaeef2c5c> | CC-MAIN-2016-40 | http://bibles.org/aai-AAINT/John/15/ | 2016-09-27T17:21:12Z | s3://commoncrawl/crawl-data/CC-MAIN-2016-40/segments/1474738661155.56/warc/CC-MAIN-20160924173741-00044-ip-10-143-35-109.ec2.internal.warc.gz | aai | 1.000009 | Latn | 22 | {} |
John 10
Bobaituw Kaifenayan Ana Oroubon
1“Turobe a tur ao’owen, bobaituw hai fur ana etawanamaim orot men imaim narun, baise nakayam ef ta’ane narun, nati orot i bainowan mowan. 2Orot yait etawanamaim erur, i bobaituw kaifenayan. 3Orot fur kaifenayan boro etawan isan nabotawiy naatu bobaituw boro orot fanan hina’inan n... | <urn:uuid:75049e4f-e264-4a16-9de5-fbe5039ea1f7> | CC-MAIN-2016-40 | http://bibles.org/aai-AAINT/John/10/ | 2016-09-30T20:23:08Z | s3://commoncrawl/crawl-data/CC-MAIN-2016-40/segments/1474738662336.11/warc/CC-MAIN-20160924173742-00189-ip-10-143-35-109.ec2.internal.warc.gz | aai | 1.000009 | Latn | 27 | {} |
Matthew 23
1Imaibo Jesu sabuw rou’ay gagamin naatu i ana bai’ufununayah isah eo, 2“Ofafar bai’obaiyenayah naatu Pharisee i Moses ana ofafar etei hisora’ub. 3-Imih abistan tibi’obaiyi i kwanabosiyasiyar, baise men kwani’u’urih. Anayabin abisa teo i men na’atube tisisinafumih. 4Ofafar fokarih maiyow sabuw tuwabuh hiyara’... | <urn:uuid:0497d601-e0b4-488f-bce0-4c6cabd708fe> | CC-MAIN-2016-40 | http://bibles.org/aai-AAINT/Matt/23/ | 2016-10-01T19:00:46Z | s3://commoncrawl/crawl-data/CC-MAIN-2016-40/segments/1474738663202.87/warc/CC-MAIN-20160924173743-00296-ip-10-143-35-109.ec2.internal.warc.gz | aai | 1.000008 | Latn | 46 | {} |
Acts 23:6
6Imaibo nati ana maramain Kaniser sabuw Paul inanih, sabuw nati’imaim hiruru’ay afa i Sadducee afa i Pharisee, naatu Paul Kaniser sabuw isah fanan aumetawat eaf eo, “Teituwou! Ayu i Pharisee, naatu Pharisee orot natun. Ayu iti baibatiyen efanamaim abatabat anayabin abitumatum morobone misir maiye ana nuhufot ... | <urn:uuid:f252d867-cd66-436e-9943-6723b5d270d9> | CC-MAIN-2016-40 | http://bibles.org/aai-AAINT/Acts/23/6 | 2016-09-27T12:13:28Z | s3://commoncrawl/crawl-data/CC-MAIN-2016-40/segments/1474738661051.55/warc/CC-MAIN-20160924173741-00297-ip-10-143-35-109.ec2.internal.warc.gz | aai | 0.999992 | Latn | 14 | {} |
Acts 25
Paul, Festus Nanamaim Hibatiy
1Festus na Judea wanawanan gawan ana efan bai ma veya tounu ufunamaim Caesarea ihamiy yen na Jerusalem tit. 2-Nati’imaim firis ukwarih naatu Jew hai orot ukwarih hina Paul ana kakafih isan ubar hitin Festus hifefeyan. 3-Hikokok i mi’itube hai kokomaim tasinaf Paul tiyafar au Jerusa... | <urn:uuid:d5d7dfd5-8f7a-4c8a-9abf-6d9a888cd019> | CC-MAIN-2016-40 | http://bibles.org/aai-AAINT/Acts/25/ | 2016-09-27T01:57:45Z | s3://commoncrawl/crawl-data/CC-MAIN-2016-40/segments/1474738660931.25/warc/CC-MAIN-20160924173740-00139-ip-10-143-35-109.ec2.internal.warc.gz | aai | 1.000008 | Latn | 24 | {} |
Acts 12
Bai’akir Kakafin
1Nati ana veya’amaim Herod busuruf sabuw afa hina ekalesia ana kou’ayamaim hima’am bow fatum bai’akir kakafin maiyow itih. 2Naatu John tuwah James uwih hibai kaiyomaim hiyi morob. 3Iti na’atube sinaf Jew sabuw hibiyasisir itih, basit, Faraw Wanawanan Yeast En ana hiyuw hi’aa ana mar eo Peter hi... | <urn:uuid:4b7f6203-a87c-4460-ba26-e75fd4b18de3> | CC-MAIN-2016-40 | http://bibles.org/aai-AAINT/Acts/12/ | 2016-09-26T15:42:50Z | s3://commoncrawl/crawl-data/CC-MAIN-2016-40/segments/1474738660864.21/warc/CC-MAIN-20160924173740-00018-ip-10-143-35-109.ec2.internal.warc.gz | aai | 1.000008 | Latn | 27 | {} |
Matthew 2:16
Kek Etei Hi’asbunubunuw
16Herod veya yenin nanawan hai baifuwen titita’ur ana veya, yan so’ar gagamat bufut naatu orotokek nati Bethlehem wanawanan naatu bar merar nati sisibinamaim iyabowat hai kwamur rou’ab au babe re’er etei asabunuw isan ana baiyowayah iyunih hitit. Iti na’atube eo biyunih anayabin i v... | <urn:uuid:f792d959-2bd0-4392-ba96-cbe15406b426> | CC-MAIN-2016-40 | http://bibles.org/aai-AAINT/Matt/2/16 | 2016-10-01T15:36:58Z | s3://commoncrawl/crawl-data/CC-MAIN-2016-40/segments/1474738663010.9/warc/CC-MAIN-20160924173743-00216-ip-10-143-35-109.ec2.internal.warc.gz | aai | 1.000008 | Latn | 12 | {} |
Acts 9
Saul Dogoron Baikitabir Bai
1-Baise Saul i Regah ana bai’ufununayah rouw morob isan menan bi’arakok. Imih na firis ukwarih biyah tit, fef tab auman tan Damaskas wanawanan Kou’ay Bar ta ta hai ukwarih hitaso’ob isan 2ifefeyan, saise sabuw iyab Regah ana efamaim hima’ama orot o babin etei tafatumih tabow tan Jerus... | <urn:uuid:9fa79b8f-fccc-4197-b4fa-47bd743ab460> | CC-MAIN-2016-40 | http://bibles.org/aai-AAINT/Acts/9/ | 2016-09-30T20:23:47Z | s3://commoncrawl/crawl-data/CC-MAIN-2016-40/segments/1474738662336.11/warc/CC-MAIN-20160924173742-00231-ip-10-143-35-109.ec2.internal.warc.gz | aai | 1.000006 | Latn | 22 | {} |
Luke 23:50-51
Jesu Hibai Hin Rahemaim Hiyai
50-51Nati’imaim Arimathea orot wabin Joseph ma’am, Arimathea i Judea wanawananamaim bar merar ta. Iti orot Joseph i orot gewasin naatu ana ef mutufurin, God ana aiwob nan isan ma kakaif, naatu i auman Kaniser hai kou’ay orot ta, baise abisa hio hiyayanuw i ana baibasit men ta... | <urn:uuid:7bb26b9b-bd20-45c4-8b34-43c2ea697313> | CC-MAIN-2016-40 | http://bibles.org/aai-AAINT/Luke/23/50-51 | 2016-10-01T08:46:37Z | s3://commoncrawl/crawl-data/CC-MAIN-2016-40/segments/1474738662698.85/warc/CC-MAIN-20160924173742-00143-ip-10-143-35-109.ec2.internal.warc.gz | aai | 1 | Latn | 12 | {} |
Acts 21:28
28hitar koukuw hi’af hio, “Israel Oro’orot kwana kwaibaisi! Iti orot efan etei remor ana bai’obaiyenamaim it ata sabuw isah tur kakafin maiyow eo, naatu ata ofafar baihamiyin isan eo’o, naatu iti Tafaror Bar wabin ebi’afiy. Naatu kakafin gagamin anababatun sisinaf i kwana’itin, Ufunane Sabuw buwih hina hirun... | <urn:uuid:3924ad52-fbb6-482a-8d43-da8c615aae25> | CC-MAIN-2016-40 | http://bibles.org/aai-AAINT/Acts/21/28 | 2016-09-29T17:06:07Z | s3://commoncrawl/crawl-data/CC-MAIN-2016-40/segments/1474738661905.96/warc/CC-MAIN-20160924173741-00045-ip-10-143-35-109.ec2.internal.warc.gz | aai | 1.000008 | Latn | 13 | {} |
John 12
Jesu Bethanyimaim Hiyanowah
(Matthew 26.6-13; Mark 14.3-9)
1-Veya six nasasawar ufunamaim i Tar Nowaten ana veya, Jesu na Bethany tit, Lazarus morobone biyawas i ana bar merar. 2-Nati’imaim rabirab ana bay hibogaigiwas Jesu bairi aa isan, Martha ibaisih bairi bay hisemor. Lazarus orot afa auman Jesu bairi himar... | <urn:uuid:fde6ce04-bff7-4f44-bc63-a38741ef0272> | CC-MAIN-2016-40 | http://bibles.org/aai-AAINT/John/12/ | 2016-09-30T03:18:24Z | s3://commoncrawl/crawl-data/CC-MAIN-2016-40/segments/1474738662018.69/warc/CC-MAIN-20160924173742-00251-ip-10-143-35-109.ec2.internal.warc.gz | aai | 1.000009 | Latn | 22 | {} |
Acts 27:12
12Naatu nati awar wa rouwin rarab siba’u imaim ma isan men igewasin, imih orot etei hai kok i boro wa hitimtawiy takakaram na’at atarabon Phoenix imaim rarab siba’u atama. Phoenix awar i tafaram Kurit wanawanan naatu nati awar i gewasin anayabin umabibin oyaw na’atune veya ere’er boro ina’itin nare. | <urn:uuid:76ae4b5b-fd1d-438a-8c5b-b375ba5a1b14> | CC-MAIN-2016-40 | http://bibles.org/aai-AAINT/Acts/27/12 | 2016-09-30T03:17:03Z | s3://commoncrawl/crawl-data/CC-MAIN-2016-40/segments/1474738662018.69/warc/CC-MAIN-20160924173742-00254-ip-10-143-35-109.ec2.internal.warc.gz | aai | 0.999998 | Latn | 18 | {} |
Luke 2
Jesu Tutufuw Ana Veya
(Matthew 1.18-25)
1Nati ana veya, sabuw iyab Roman gawan babanamaim hima’am wabih bukamaim kirum isan Caesar Augustus iuwih. 2Sabuw baiyab isan marasika i men hiyab, baise Quirinius tafaram Syria isan bigawan ana veya imaibo hibusuruf sabuw hiyab wabih bukamaim hikirum. 3Nati baiyab ana vey... | <urn:uuid:8a74cafd-fce8-4199-b1b2-1fc18cdadcb1> | CC-MAIN-2016-40 | http://bibles.org/aai-AAINT/Luke/2/ | 2016-09-25T17:29:01Z | s3://commoncrawl/crawl-data/CC-MAIN-2016-40/segments/1474738660338.16/warc/CC-MAIN-20160924173740-00098-ip-10-143-35-109.ec2.internal.warc.gz | aai | 1.00001 | Latn | 28 | {} |
Luke 8
Baibin Jesu Hi’ufunun
1Veya bai’ab na’atube sasawar ufunamaim, Jesu ana bai’ufununayah nah 12 bairi hin bar awan, awan hirun hitit God ana aiwob isan Tur Gewasin binan hiremor. 2-Hinan wanawanahimaim, i baibin afa sawow yumatah ta ta hibow hima’am, naatu demon kakafih hitar gubih hima’am Jesu biyawasih auman bai... | <urn:uuid:53fd4742-72f7-4c3d-aeae-e4a124687d51> | CC-MAIN-2016-40 | http://bibles.org/aai-AAINT/Luke/8/ | 2016-09-25T05:30:25Z | s3://commoncrawl/crawl-data/CC-MAIN-2016-40/segments/1474738659865.46/warc/CC-MAIN-20160924173739-00284-ip-10-143-35-109.ec2.internal.warc.gz | aai | 1.000009 | Latn | 28 | {} |
Acts 7
1Imaibo Firis Gagamin Stephen ibatiy, “Tur iti i anababatun o isa teo?” 2-Stephen iya’afut eo, “Taitu tuwai’inah naatu tamai’inah anao kwananowar! Ata agir Abraham ufibo na Haram imaim ma, baise wan Mesopotamia ma’am ana veya’amaim Marakaw ana God isan irerereb eo. 3‘A tafaram naatu taituwa inihamiyih inan tafar... | <urn:uuid:89b5a84a-f2e3-4bab-82f3-264b8e9ead0b> | CC-MAIN-2016-40 | http://bibles.org/aai-AAINT/Acts/7/ | 2016-09-27T19:04:19Z | s3://commoncrawl/crawl-data/CC-MAIN-2016-40/segments/1474738661155.8/warc/CC-MAIN-20160924173741-00169-ip-10-143-35-109.ec2.internal.warc.gz | aai | 1.000008 | Latn | 30 | {} |
Mark 9
1-Jesu sabuw iuwih eo, “Turobe a tur ao’owen kwa afa iti kwama’am boro morobo’e yawas kwanama’am maramaim God ana aiwob fairin boro nanan kwana’itin.”
Jesu Ana Yumat Botabir
2-Veya etei six sasawar ufunamaim Peter, James naatu John, Jesu buwih bairi akisihimo hiyen hin oyaw tafantoro’ot hitit. Nati’imaim matah y... | <urn:uuid:baca5f22-932f-4af5-9fcf-644945fa1218> | CC-MAIN-2016-40 | http://bibles.org/aai-AAINT/Mark/9/ | 2016-09-26T10:33:43Z | s3://commoncrawl/crawl-data/CC-MAIN-2016-40/segments/1474738660746.32/warc/CC-MAIN-20160924173740-00010-ip-10-143-35-109.ec2.internal.warc.gz | aai | 1.000009 | Latn | 30 | {} |
Luke 20
Jesu Ana Fair Isan Sabuw Hibatiy
1Veya ta Jesu in Tafaror Bar run ma sabuw i’obaiyih Tur Gewasin binan hima hinonowar, basit firis ukwarih, ofafar bai’obaiyenayah naatu regaregah ai’in bairi hina 2Jesu hibatiy. “Kuo anowar, a fair menane ibai iti bowabow kusisinaf? Naatu iti fair i yait it?”
3Jesu iyafutih eo, ... | <urn:uuid:88e8af04-44c6-4d0e-9fe7-8898b76fda9d> | CC-MAIN-2016-40 | http://bibles.org/aai-AAINT/Luke/20/ | 2016-10-01T08:46:24Z | s3://commoncrawl/crawl-data/CC-MAIN-2016-40/segments/1474738662698.85/warc/CC-MAIN-20160924173742-00178-ip-10-143-35-109.ec2.internal.warc.gz | aai | 1.00001 | Latn | 24 | {} |
Acts 19
Paul Ephesus Imaim
1-Apollos Corinth ma’am ana veya Paul tafaram ta ta oyaw wanane run tit remor na Ephesus tit. Nati’imaim bai’ufununayah sabuw afa titaurih. 2-Naatu bai’ufununayah ibatiyih, “Kwabitumatum ana maramaim Anun kakafiyin re iwani?” Hiya’afut hio, “Aki nati Anun Kakafiyin ana tur men kafa’imo hio an... | <urn:uuid:b4408fc9-6b0d-434d-b664-77ae6ff312e2> | CC-MAIN-2016-40 | http://bibles.org/aai-AAINT/Acts/19/ | 2016-09-25T00:18:49Z | s3://commoncrawl/crawl-data/CC-MAIN-2016-40/segments/1474738659680.65/warc/CC-MAIN-20160924173739-00235-ip-10-143-35-109.ec2.internal.warc.gz | aai | 1.000009 | Latn | 30 | {} |
John 3
Jesu, Nicodemus Bi’obaiy
1-Jew hai ukwarin orot wabin Nicodemus i Pharisee ana kou’ayamaim orot ta. 2Guguminamaim na Jesu biyan tit, naatu eo, “Bai’obaiyenayan, aki aso’ob o i bai’obaiyenayan God biyanane ina. Men yait ta karam boro ina’inanen fairih o kusisinafube nasinaf, God men hairi hinama’am na’at.”
3-Mar ... | <urn:uuid:b20c2bcb-84f7-4960-88fd-2f8e7429c322> | CC-MAIN-2016-40 | http://bibles.org/aai-AAINT/John/3/ | 2016-09-30T03:18:06Z | s3://commoncrawl/crawl-data/CC-MAIN-2016-40/segments/1474738662018.69/warc/CC-MAIN-20160924173742-00287-ip-10-143-35-109.ec2.internal.warc.gz | aai | 1.000009 | Latn | 23 | {} |
Acts 22
1“Tamai’inah, naatu taitu tuwai’inah au wasfafaren ana tur anao kwananowar.” 2Hebrew turamaim eo hinonowar ana veya etei surur binon tar.
Imaibo Paul eo, 3-“Ayu i Jew orot Tarsus imaim atufuw tafaram Silisia wanawanan, baise Jerusalemamaim ama ara’at. Gamaliel ana bai’obaiyen babanamaim ama, uwatanah hai ofafar... | <urn:uuid:d2189d80-97bb-4589-845f-901ed10c6d12> | CC-MAIN-2016-40 | http://bibles.org/aai-AAINT/Acts/22/ | 2016-09-27T19:04:07Z | s3://commoncrawl/crawl-data/CC-MAIN-2016-40/segments/1474738661155.8/warc/CC-MAIN-20160924173741-00218-ip-10-143-35-109.ec2.internal.warc.gz | aai | 1.000007 | Latn | 57 | {} |
Acts 14
Ikoniumamaim
1Matanfufur tisisinaf na’atube Ikonium bar meraramaim Paul, Barnabas hairi hin Kou’ay bar hirun hai tur hio’omaim Jew sabuw naatu Greek sabuw moumurih maiyow hibotabirih hina baitumatumayah himatar. 2Baise Jew sabuw iyab baitumatum hikwakwahir, himisir Ufun Sabuw yah hiyi hikura’ara’ahih inan himis... | <urn:uuid:95e508e6-1b60-451c-ab92-8614789422a3> | CC-MAIN-2016-40 | http://bibles.org/aai-AAINT/Acts/14/ | 2016-09-29T22:12:41Z | s3://commoncrawl/crawl-data/CC-MAIN-2016-40/segments/1474738661953.95/warc/CC-MAIN-20160924173741-00219-ip-10-143-35-109.ec2.internal.warc.gz | aai | 1.000008 | Latn | 22 | {} |
🥂 FineWeb2
A sparkling update with 1000s of languages
What is it?
This is the second iteration of the popular 🍷 FineWeb dataset, bringing high quality pretraining data to over 1000 🗣️ languages.
The 🥂 FineWeb2 dataset is fully reproducible, available under the permissive ODC-By 1.0 license and extensively validated through hundreds of ablation experiments.
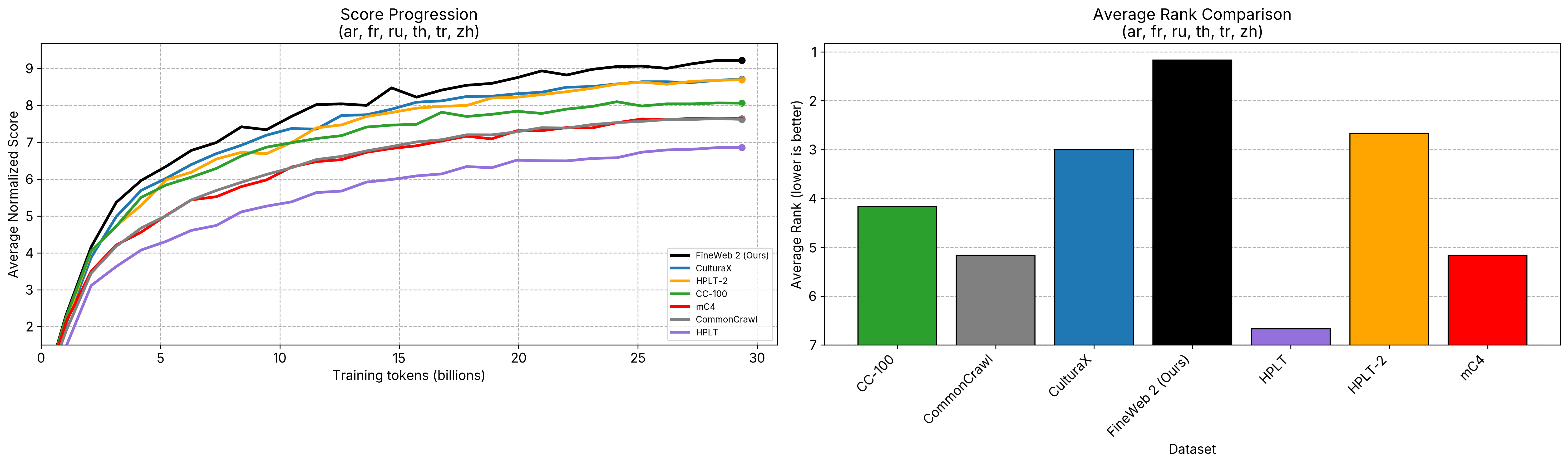
In particular, on the set of 9 diverse languages we used to guide our processing decisions, 🥂 FineWeb2 outperforms other popular pretraining datasets covering multiple languages (such as CC-100, mC4, CulturaX or HPLT, while being substantially larger) and, in some cases, even performs better than some datasets specifically curated for a single one of these languages, in our diverse set of carefully selected evaluation tasks: FineTasks.
The data was sourced from 96 CommonCrawl snapshots, spanning the summer of 2013 to April 2024, and processed using 🏭 datatrove, our large scale data processing library. This carefully deduplicated and filtered dataset comprises roughly 20 terabytes, across 5 billion documents, with over 3 trillion words (see How many tokens? for more details). For PII and opt-out see Personal and Sensitive Information and opt-out.
You will find our ablation and evaluation setup in this github repo. We will soon upload model checkpoints from our ablation experiments.
Read our 📝 research paper for details on the dataset creation!
Languages and available subsets
For English data, please refer to the original 🍷 FineWeb.
Each language is identified by its ISO 639-3 code, and the data is grouped by language-script pairs, since some languages have content in multiple scripts.
In total, we provide filtered data for 1,868 language-script pairs. Of these, 474 have more than 1 thousand documents, and 203 have more than 10 thousand documents of filtered data. Most languages also include a small test split which should not be trained on.
While we tried our best to not overfilter, we know that our filtering isn't perfect, and wanted to allow the community to easily re-filter the data with their own filtering criteria. We have therefore also uploaded the data that was removed by our filtering pipeline for each language (it is suffixed by _removed). The filtered + the removed subsets of each language represent the entire data for a given language following global deduplication, which means that you do not have to re-deduplicate it yourself. You can find and adapt our filtering code here. The removed data is available through direct download (using hub_download for example) but not through load_dataset, as there would otherwise be an excessive number of subsets.
Additionally, we also uploaded data for scripts that the language classifier does not support or in a supported script but unknown language, without any deduplication or filtering. These are prefixed by und_.
The following table shows the size of the filtering subset for the biggest 80 languages. The full list is available on Github.
| ISO 639-3 code | Script | Name | Language Family | Subset | Words | Documents | UTF-8 Bytes | Disk size |
|---|---|---|---|---|---|---|---|---|
| rus | Cyrl | Russian | Indo-European | rus_Cyrl |
588,579,493,780 | 699,083,579 | 5.82TB | 1.81TB |
| cmn | Hani | Mandarin Chinese | Sino-Tibetan | cmn_Hani |
543,543,038,750 | 636,058,984 | 2.42TB | 1.48TB |
| deu | Latn | German | Indo-European | deu_Latn |
262,271,052,199 | 495,964,485 | 1.51TB | 719.08GB |
| jpn | Jpan | Japanese | Japonic | jpn_Jpan |
331,144,301,801 | 400,138,563 | 1.50TB | 667.44GB |
| spa | Latn | Spanish | Indo-European | spa_Latn |
261,523,749,595 | 441,287,261 | 1.32TB | 593.82GB |
| fra | Latn | French | Indo-European | fra_Latn |
220,662,584,640 | 360,058,973 | 1.11TB | 502.82GB |
| ita | Latn | Italian | Indo-European | ita_Latn |
139,116,026,491 | 238,984,437 | 739.24GB | 332.47GB |
| por | Latn | Portuguese | Indo-European | por_Latn |
109,536,087,117 | 199,737,979 | 569.24GB | 256.92GB |
| pol | Latn | Polish | Indo-European | pol_Latn |
73,119,437,217 | 151,966,724 | 432.01GB | 210.35GB |
| nld | Latn | Dutch | Indo-European | nld_Latn |
74,634,633,118 | 147,301,270 | 397.51GB | 176.98GB |
| ind | Latn | Indonesian | Austronesian | ind_Latn |
60,264,322,142 | 100,238,529 | 348.65GB | 141.70GB |
| vie | Latn | Vietnamese | Austro-Asiatic | vie_Latn |
50,886,874,358 | 61,064,248 | 319.83GB | 121.19GB |
| fas | Arab | Persian | Indo-European | fas_Arab |
39,705,799,658 | 58,843,652 | 304.62GB | 95.33GB |
| arb | Arab | Standard Arabic | Afro-Asiatic | arb_Arab |
32,812,858,120 | 61,977,525 | 293.59GB | 98.69GB |
| tur | Latn | Turkish | Turkic | tur_Latn |
41,933,799,420 | 95,129,129 | 284.52GB | 125.53GB |
| tha | Thai | Thai | Kra-Dai | tha_Thai |
24,662,748,945 | 35,897,202 | 278.68GB | 69.91GB |
| ukr | Cyrl | Ukrainian | Indo-European | ukr_Cyrl |
25,586,457,655 | 53,101,726 | 254.86GB | 84.98GB |
| ell | Grek | Modern Greek (1453-) | Indo-European | ell_Grek |
22,827,957,288 | 47,421,073 | 222.05GB | 73.16GB |
| kor | Hang | Korean | Koreanic | kor_Hang |
48,613,120,582 | 60,874,355 | 213.43GB | 98.50GB |
| ces | Latn | Czech | Indo-European | ces_Latn |
35,479,428,809 | 66,067,904 | 206.33GB | 102.38GB |
| swe | Latn | Swedish | Indo-European | swe_Latn |
35,745,969,364 | 59,485,306 | 202.96GB | 88.63GB |
| hun | Latn | Hungarian | Uralic | hun_Latn |
30,919,839,164 | 49,935,986 | 199.69GB | 91.73GB |
| ron | Latn | Romanian | Indo-European | ron_Latn |
35,017,893,659 | 58,303,671 | 186.19GB | 85.37GB |
| nob | Latn | Norwegian Bokmål | Indo-European | nob_Latn |
32,008,904,934 | 38,144,343 | 172.05GB | 78.25GB |
| dan | Latn | Danish | Indo-European | dan_Latn |
28,055,948,840 | 45,391,655 | 150.72GB | 65.74GB |
| bul | Cyrl | Bulgarian | Indo-European | bul_Cyrl |
16,074,326,712 | 25,994,731 | 145.75GB | 45.68GB |
| fin | Latn | Finnish | Uralic | fin_Latn |
20,343,096,672 | 36,710,816 | 143.03GB | 61.94GB |
| hin | Deva | Hindi | Indo-European | hin_Deva |
11,173,681,651 | 22,095,985 | 120.98GB | 31.92GB |
| ben | Beng | Bengali | Indo-European | ben_Beng |
6,153,579,265 | 15,185,742 | 87.04GB | 22.25GB |
| slk | Latn | Slovak | Indo-European | slk_Latn |
14,808,010,769 | 29,991,521 | 85.43GB | 43.00GB |
| heb | Hebr | Hebrew | Afro-Asiatic | heb_Hebr |
8,462,976,117 | 14,491,748 | 68.71GB | 23.15GB |
| lit | Latn | Lithuanian | Indo-European | lit_Latn |
9,132,828,961 | 13,471,965 | 56.50GB | 25.75GB |
| bos | Latn | Bosnian | Indo-European | bos_Latn |
9,086,837,979 | 21,243,255 | 49.18GB | 24.61GB |
| slv | Latn | Slovenian | Indo-European | slv_Latn |
7,688,373,264 | 12,059,130 | 41.80GB | 19.22GB |
| ekk | Latn | Standard Estonian | Uralic | ekk_Latn |
6,564,292,000 | 10,218,587 | 40.82GB | 18.35GB |
| cat | Latn | Catalan | Indo-European | cat_Latn |
8,348,091,726 | 17,136,414 | 40.35GB | 18.52GB |
| tam | Taml | Tamil | Dravidian | tam_Taml |
1,937,150,898 | 5,528,854 | 36.97GB | 8.79GB |
| hrv | Latn | Croatian | Indo-European | hrv_Latn |
6,609,299,440 | 6,195,824 | 35.91GB | 16.36GB |
| lvs | Latn | Standard Latvian | Indo-European | lvs_Latn |
5,371,151,279 | 8,030,316 | 33.36GB | 14.70GB |
| zsm | Latn | Standard Malay | Austronesian | zsm_Latn |
5,648,387,840 | 9,421,248 | 31.94GB | 13.28GB |
| azj | Latn | North Azerbaijani | Turkic | azj_Latn |
3,894,255,826 | 7,291,231 | 26.90GB | 10.49GB |
| srp | Cyrl | Serbian | Indo-European | srp_Cyrl |
2,858,500,314 | 4,146,124 | 26.87GB | 8.64GB |
| kat | Geor | Georgian | Kartvelian | kat_Geor |
1,439,572,993 | 3,706,659 | 25.23GB | 6.33GB |
| npi | Deva | Nepali (individual language) | Indo-European | npi_Deva |
1,642,856,349 | 4,888,163 | 25.13GB | 6.22GB |
| mar | Deva | Marathi | Indo-European | mar_Deva |
1,541,225,070 | 3,912,702 | 22.57GB | 5.85GB |
| mal | Mlym | Malayalam | Dravidian | mal_Mlym |
1,054,187,581 | 3,322,526 | 22.27GB | 5.51GB |
| kaz | Cyrl | Kazakh | Turkic | kaz_Cyrl |
1,876,843,453 | 3,344,366 | 20.67GB | 6.33GB |
| urd | Arab | Urdu | Indo-European | urd_Arab |
2,733,266,493 | 4,809,542 | 19.93GB | 6.40GB |
| als | Latn | Tosk Albanian | Indo-European | als_Latn |
3,454,387,059 | 8,597,826 | 18.18GB | 8.42GB |
| mkd | Cyrl | Macedonian | Indo-European | mkd_Cyrl |
1,611,392,841 | 4,150,902 | 14.99GB | 4.82GB |
| tel | Telu | Telugu | Dravidian | tel_Telu |
891,002,487 | 1,964,395 | 14.42GB | 3.68GB |
| kan | Knda | Kannada | Dravidian | kan_Knda |
748,850,327 | 2,390,982 | 12.91GB | 3.28GB |
| mya | Mymr | Burmese | Sino-Tibetan | mya_Mymr |
854,400,671 | 1,558,304 | 12.35GB | 2.90GB |
| guj | Gujr | Gujarati | Indo-European | guj_Gujr |
934,124,052 | 2,127,094 | 11.71GB | 3.11GB |
| bel | Cyrl | Belarusian | Indo-European | bel_Cyrl |
1,166,541,148 | 2,100,873 | 11.47GB | 3.87GB |
| isl | Latn | Icelandic | Indo-European | isl_Latn |
1,696,354,360 | 3,014,429 | 10.27GB | 4.59GB |
| khm | Khmr | Khmer | Austro-Asiatic | khm_Khmr |
667,495,692 | 1,586,460 | 8.70GB | 2.12GB |
| khk | Cyrl | Halh Mongolian | Mongolic | khk_Cyrl |
824,211,882 | 1,622,882 | 8.52GB | 2.58GB |
| fil | Latn | Filipino | Austronesian | fil_Latn |
1,636,238,017 | 2,349,050 | 8.13GB | 3.34GB |
| ary | Arab | Moroccan Arabic | Afro-Asiatic | ary_Arab |
843,523,994 | 2,365,405 | 7.74GB | 2.67GB |
| afr | Latn | Afrikaans | Indo-European | afr_Latn |
1,598,352,868 | 1,992,040 | 7.69GB | 3.40GB |
| hye | Armn | Armenian | Indo-European | hye_Armn |
634,273,060 | 1,757,415 | 7.17GB | 2.26GB |
| sin | Sinh | Sinhala | Indo-European | sin_Sinh |
512,453,069 | 1,185,323 | 7.05GB | 1.87GB |
| glg | Latn | Galician | Indo-European | glg_Latn |
1,236,233,473 | 2,522,814 | 6.47GB | 2.92GB |
| uzn | Cyrl | Northern Uzbek | Turkic | uzn_Cyrl |
544,866,919 | 1,357,811 | 6.12GB | 1.83GB |
| pan | Guru | Panjabi | Indo-European | pan_Guru |
522,788,467 | 944,160 | 5.64GB | 1.47GB |
| ory | Orya | Odia | Indo-European | ory_Orya |
333,760,951 | 1,298,188 | 4.92GB | 1.28GB |
| uzn | Latn | Northern Uzbek | Turkic | uzn_Latn |
687,002,994 | 1,233,463 | 4.45GB | 1.90GB |
| kir | Cyrl | Kirghiz | Turkic | kir_Cyrl |
397,449,282 | 1,069,582 | 4.36GB | 1.37GB |
| eus | Latn | Basque | Language isolate | eus_Latn |
711,939,889 | 1,569,434 | 4.30GB | 1.90GB |
| lat | Latn | Latin | Indo-European | lat_Latn |
714,764,848 | 1,473,541 | 3.86GB | 1.64GB |
| tgk | Cyrl | Tajik | Indo-European | tgk_Cyrl |
396,209,383 | 688,384 | 3.75GB | 1.15GB |
| gmh | Latn | Middle High German (ca. 1050-1500) | Indo-European | gmh_Latn |
506,396,917 | 84,495 | 3.41GB | 1.28GB |
| swh | Latn | Swahili (individual language) | Niger-Congo | swh_Latn |
569,542,024 | 1,206,300 | 3.08GB | 1.33GB |
| arz | Arab | Egyptian Arabic | Afro-Asiatic | arz_Arab |
345,040,810 | 853,290 | 2.92GB | 1.06GB |
| nno | Latn | Norwegian Nynorsk | Indo-European | nno_Latn |
522,740,774 | 1,214,870 | 2.68GB | 1.30GB |
| cym | Latn | Welsh | Indo-European | cym_Latn |
523,226,616 | 831,878 | 2.50GB | 1.10GB |
| amh | Ethi | Amharic | Afro-Asiatic | amh_Ethi |
239,936,286 | 428,373 | 2.49GB | 848.50MB |
| pbt | Arab | Southern Pashto | Indo-European | pbt_Arab |
337,138,269 | 639,983 | 2.41GB | 816.03MB |
| ckb | Arab | Central Kurdish | Indo-European | ckb_Arab |
236,342,609 | 554,993 | 2.39GB | 783.85MB |
| ... | ... | ... | ... | ... | ... | ... | ... | |
| Total | 3,339,271,691,958 | 5,018,505,566 | 20.78TB | 8.58TB |
How many tokens?
The number of tokens obtained when tokenizing data in a specific language heavily depends on whether the tokenizer was trained with that language, and its script, in mind. For instance, while employing the gpt2 tokenizer to tokenize Thai data might result in a very large number of tokens, using a tokenizer explicitly trained for south-east asian languages would considerably bring down this number.
As such, we chose to only report total number of documents, disk size and words for each language, as reported by the word tokenizer (we don't mean gpt2 here, but a tool that will only split words) that we assigned to each language.
Changelog
Previous versions remain available in the branch version name. You can access them using for example revision="v2.0.0".
- v2.1.1 (27-10-2025): Added
han_Latnandnan_Latn. Fixed features issue when usingload_datasetfor some languages. - v2.1.0 (27-06-2025): Filtering was slightly changed to match the version from our paper. The dataset size has increased. We have also added additional filtering to lower-resource languages to increase precision.
- v2.0.1 (08-01-2025): We reran the "fixes" step with most fixes from FTFY disabled except encoding correction. These fixes were, for example, changing all full-width punctuation in Chinese to half-width (which is not commonly used), as well as applying other normalizations that could make models not recognize certain types of characters or formatting. See here.
- v2.0.0 (08-12-2024): Initial version
How to download and use 🥂 FineWeb2
See the tables above for the subset of the language and version (filtered or removed) of the data you want to download.
We currently do not provide smaller sample versions, but by setting limit or using streaming=True you can easily fetch a sample of the data. If there is interest from the community we might upload smaller sampled versions later on.
Using 🏭 datatrove
from datatrove.pipeline.readers import ParquetReader
# limit determines how many documents will be streamed (remove for all)
# this will fetch the Portuguese filtered data
data_reader = ParquetReader("hf://datasets/HuggingFaceFW/fineweb-2/data/por_Latn/train", limit=1000)
for document in data_reader():
# do something with document
print(document)
###############################
# OR for a processing pipeline:
###############################
from datatrove.executor import LocalPipelineExecutor
from datatrove.pipeline.readers import ParquetReader
from datatrove.pipeline.filters import LambdaFilter
from datatrove.pipeline.writers import JsonlWriter
pipeline_exec = LocalPipelineExecutor(
pipeline=[
ParquetReader("hf://datasets/HuggingFaceFW/fineweb-2/data/por_Latn/train", limit=1000),
LambdaFilter(lambda doc: "hugging" in doc.text),
JsonlWriter("some-output-path")
],
tasks=10
)
pipeline_exec.run()
Using huggingface_hub
from huggingface_hub import snapshot_download
folder = snapshot_download(
"HuggingFaceFW/fineweb-2",
repo_type="dataset",
local_dir="./fineweb2/",
# download the Czech filtered + removed data
allow_patterns=["data/ces_Latn/train/*", "data/ces_Latn_removed/train/*"])
For faster downloads, make sure to install pip install huggingface_hub[hf_transfer] and set the environment variable HF_HUB_ENABLE_HF_TRANSFER=1.
Using datasets
As mentioned above, load_dataset will not work for und_ or _removed splits.
from datasets import load_dataset
# get Croatian data
fw = load_dataset("HuggingFaceFW/fineweb-2", name="hrv_Latn", split="train", streaming=True)
Dataset processing steps
We used the 🏭 datatrove library to process the data.
You can find a working script that launches the entire processing pipeline here.
The processing pipeline had to be heavily adapted for a multilingual setting. As each language has its own peculiarities, we individually tuned each filter, defining different thresholds and stopwords for each language. 📊 These thresholds and stopwords are available in /configs/{iso3_lang}_{script}.yml in our github repo.
The starting point for our dataset was the non-English data (< 0.65 score in English) we obtained when processing the original FineWeb. This data was text extracted using trafilatura and went through our URL filters (for more info see 🍷 FineWeb. To this data, we applied the following processing steps:
- Additional Language Identification and filtering 🔍
- Deduplication per language 🔄
- Filtering per language 🧹
- PII Anonymization and fixes 🎭
Language Identification 🌍
Performed using GlotLID, which not only covers a wider variety of languages (2000+ available labels) compared to fasttext176 (used in the original FineWeb), as it also identifies the script used in each document. 📜
For each language, we defined different minimum language classifier confidence scores to keep a document.
Deduplication 🗃️
Unlike in 🍷 FineWeb, where data was deduplicated per CommonCrawl snapshot, in 🥂 FineWeb2, data is deduplicated per language, globally. However, following our deduplication findings in the original 🍷 FineWeb, while we remove all except one document from each duplicate cluster, we save the size of this cluster in the kept document's metadata, saved in minhash_cluster_size.
This allows us to "re-hydrate" the dataset: by upsampling documents based on their cluster size, we see clear performance improvements for some languages, particularly high resource ones. 📈
We think upsampling weights should be dataset specific, and have therefore used the filtering rates of each duplicate cluster to compute different weights per language. They are available on our Github repo, along with sample code to Rehydrate the dataset.
WARNING: If you do not upsample based on these weights, dataset performance may be lower than the one obtained on our results.
Data Filtering 🧹
We mostly kept the original 🍷 FineWeb set of filters, and do not create new filters targeting individual languages. As such, we had to extensively ablate on different processes of adapting the English filters to all the languages we supported. 🔍
Based on the results of our experiments, we also disabled/changed global values of some specific filters:
- For FineWebQuality filters, we removed
short_line_thrand changedchar_dup_ratiofrom 0.01 to 0.1. - Gopher Repetition filter: disabled paragraph related filters as trafilatura does not keep them ❌
- C4 filters: we did not include the C4 filters as they seemed to degrade performance in this multilingual setting 📉
PII Anonymization and fixes 🎭
- PII Removal: Kept unchanged, emails and ip addresses are anonymized. ✉️
- We applied FTFY to fix encoding issues. 🔧
- Added some code to fix trafilatura created artifacts related to tables 🛠️
We will soon release more details regarding the reasoning behind each of these decisions in our upcoming blogpost.
Dataset performance evaluation and ablations
We chose 9 diverse (in script, language family and resource availability) languages for our ablation setup: Chinese, French, Arabic, Russian, Thai, Hindi, Turkish, Swahili, and Telugu. We then selected high signal tasks for these languages out of almost 200 benchmarks. We wrote an entire blogpost about this process: FineTasks, where you will find the full list of tasks we evaluated on, as well as how they were selected. As for metrics, we use normalized probability mass (not accuracies!) for discriminative tasks and f1 for generative tasks, as these metrics have proven to be far more stable than their alternatives.
We conducted our dataset performance ablations and evaluations by training a series of 1.45B parameters models on ~30 billion tokens, tokenized using the gemma tokenizer. To compare 🥂 FineWeb2 with other datasets, we also trained one of these 1.45B models per target dataset, on 30 billion tokens sampled from it (or the entire dataset when its size was < 30 billion tokens). We chose 30B as some of the comparison datasets were relatively small for some languages, but we will soon release some longer ablation runs.
Hyper-parameters for ablation models
The detailed configurations for training the models can be found here.
Comparison with other datasets
Note: the results below use an older version of the dataset. Please check our paper for updated results. You will find all the evaluation results in the repo files. The 🥂 FineWeb2 runs were trained on the final data (dedup+filtering) with re-hydration (see the section on deduplication above), unless explicitly stated (e.g. Swahili).
We compared 🥂 FineWeb2 with the following multilingual datasets:
And with language specific monolingual datasets:
- ArabicWeb24 (arabic)
- Arabic-101B (arabic)
- Croissant (french)
- Sangraha (hindi & telugu)
- Odaigen(hindi)
- Omnia Russica (russian)
- Sea CommonCrawl (thai)
- VNGRS-Web-Corpus (turkish)
- MNBVC (chinese)
- TigerBot (chinese)
- MAP-CC (chinese)
Expand each individual language to see the corresponding plot. The error bars correspond to one standard deviation of the scores of 4 models trained on different randomly sampled 30B tokens of unfiltered CommonCrawl data.
Arabic
French
Hindi
Russian
Swahili
For Swahili, the filtered data (around ~1B tokens) performs worse than the deduplicated (filtered+removed subsets) data (around ~3B tokens). We believe this is due to the small number of remaining tokens.
Telugu
Thai
Turkish
Chinese
TigerBot and MAP-CC outperform 🥂 FineWeb2, possibly due to filters specificaly targeting Chinese.
Dataset card for 🥂 FineWeb2
Dataset Summary
This dataset was created by processing 96 CommonCrawl dumps comprising web data crawled from the summer of 2013 to April 2024. 🥂 FineWeb2 includes a variety of domains and topics in a variety of languages and is primarily intended to be used as a research artifact on public data in the context of pretraining datasets for large language models. The CommonCrawl data was carefully processed, deduplicated and filtered with the 🏭 datatrove library, resulting in the largest publicly available multilingual clean LLM pretraining dataset.
Dataset Structure
Data Instances
The following is an example sample from the dataset. It is part of the French (fra_Latn) data, originally belonged to the CC-MAIN-2013-20 CommonCrawl snapshot and was crawled on 2013-05-19T07:12:36Z.
{
"text": "Il y a 61 ans le match le plus long de l'histoire\nLe 6 janvier 1951 les Rochester Royals recevaient les Indianapolis Olympians pour ce qui allait être le match le plus long de l'histoire. Rochester qui sortait d'une victoire face aux Knicks de New York en prolongation étaient sur une série de 7 victoires avant la réception d'Indianapolis. Au final un match remporté au bout de la nuit par les Olympians en 6 prolongations et un tout petit score de 75 à 73. les équipes n'avaient shooté que 23 fois au total des 6 prolongations! (l'horloge de tir n'était pas encore utilisée)\nCe match reste à ce jour le plus long de l'histoire avec 78 minutes de jeu.",
"id": "<urn:uuid:5013b1b9-5092-40f8-8d79-c517970dd814>",
"dump": "CC-MAIN-2013-20",
"url": "http://basket-infos.com/2012/01/06/il-y-a-61-ans-le-match-le-plus-long-de-lhistoire/",
"date": "2013-05-19T07:12:36Z",
"file_path": "s3://commoncrawl/crawl-data/CC-MAIN-2013-20/segments/1368696384213/warc/CC-MAIN-20130516092624-00033-ip-10-60-113-184.ec2.internal.warc.gz",
"language": "fra",
"language_script": "Latn",
"language_score": 0.9994362592697144,
"minhash_cluster_size": 1,
"top_langs": "{\"fra_Latn_score\": 0.9994362592697144}"
}
Data Fields
text(string): the main text contentid(string): original unique identifier for this sample from CommonCrawldump(string): the CommonCrawl dump this sample was a part ofurl(string): url to the original page wheretextwas presentdate(string): crawl date (from CommonCrawl)file_path(string): s3 path for the individual CommonCrawl warc file containing this samplelanguage(string): ISO 639-3 code for the language of this samplelanguage_script(string): script of thetext, for exampleLatnlanguage_score(float): language prediction score as reported by the GlotLID classifiertop_langs: language-script pairs for which the language classifierminhash_cluster_size: number of samples in the minhash cluster of this sample. See the deduplication section to learn why this might be useful
Data Splits
See "Languages and available subsets" above.
Dataset Creation
Curation Rationale
While multiple open-weights models have regularly been released in recent months, these releases often do not include the model's training data. With 🥂 FineWeb2 we aim to provide the open source community with a very large clean pretraining dataset that can be used to push the envelope on truly open source models (open source models where data is also released). We also seek to improve the representation of lower resource (and often ignored) languages, and deliberately chose a language classifier that supported a large number of language labels.
Source Data
The source data consists of webpages crawled by the CommonCrawl foundation over the 2013-2024 time period.
We then extracted the main page text from the html of each webpage, identified its language, deduplicated the data per language and then filtered with specific thresholds adapted to each language.
Data processing steps
See "Dataset processing steps" above.
Annotations
We augment the original samples with the language, language_script, language_score, top_langs and minhash_cluster_size annotations. The language related annotations are automatically generated by our language filter. minhash_cluster_size is computed during the deduplication process, by saving the size of each duplicate cluster before removing all of its documents except one.
Personal and Sensitive Information and opt-out
We anonymize email addresses and public IP addresses.
For emails, we apply a regex pattern and replace any occurrence of an email address with either email@example.com or firstname.lastname@example.org. For IP addresses, we also employ a regex pattern and then further filter to only anonymize IP addresses allocated for public networks. Matched IP addresses are then replaced with one of the following randomly generated IP addresses, which at the time of dataset creation were not responding to ping requests: 22.214.171.124, 126.96.36.199, 188.8.131.52, 184.108.40.206, 220.127.116.11, and 18.104.22.168. We decided against applying regex patterns for phone numbers due to the high false positive rate.
Despite our efforts, given that 🥂 FineWeb2 is sourced from the internet at large, it is very likely that some personable identifiable information (PII) will be present. If you find your own PII in 🥂 FineWeb2 and would like it removed, please fill out our PII removal/opt out form.
CommonCrawl respects robots.txt at crawl time, but if you are a webmaster and find your website in 🥂 FineWeb2 and would like to have it removed, you may also use the PII removal/opt out form.
Considerations for Using the Data
Social Impact of Dataset
With the release of this dataset we aim to make model training more accessible to the machine learning community at large.
While multiple open-weights models with strong performance have been publicly released in the past, more often than not these releases are not accompanied by the corresponding training dataset. This is unfortunate as the dataset specificities and characteristics have been demonstrated to have a very large impact and role in the performances of the models. As the creation of a high quality training dataset is a fundamental requirement to training an LLM capable of excelling at downstream tasks, with 🥂 FineWeb2 we (a) not only make the dataset creation process more transparent, by sharing our entire processing setup including the codebase used, we also (b) help alleviate the costs of dataset curation, both in time and in compute, for model creators by publicly releasing our dataset with the community.
While LLM advancements have primarily focused on English, Chinese, and other Western languages, this release prioritizes broader language support. We consulted with practitioners who develop LLMs for diverse languages to address their specific requirements, such as proper word segmentation (particularly for scripts that don't use whitespace separation) and handling language-specific punctuation, ensuring that medium and lower resource languages were not an afterthought.
Discussion of Biases
Efforts were made to minimize the amount of NSFW and toxic content present in the dataset by employing filtering on the URL level. However, there are still a significant number of documents present in the final dataset that could be considered toxic or contain harmful content. As 🥂 FineWeb2 was sourced from the web as a whole, any harmful biases typically present in it may be reproduced on our dataset.
Some filters might disproportionately target specific domains. One such example is poetry: we noticed that the punctuation filter removes a lot of poems.
We deliberately avoided using machine learning filtering methods that define text quality based on the similarity to a “gold” source such as wikipedia or toxicity classifiers as these methods have been known to disproportionately remove content in specific dialects and overclassify as toxic text related to specific social identities, respectively.
Other Known Limitations
While the language classifier we used, GlotLID supports over 2000 language labels, its performance is not ideal for all of them. The training data for many languages is hard to obtain and, additionally, the classifier is prone to sometimes mistaking closely related languages (for instance, Standard Arabic and Arabic dialects or Croatian and Bosnian). We tried to mitigate this by curating stopwords for each language, but these might also not be effective in all cases.
Due to resource constraints and limited access to native speakers, we couldn't test each language individually. We encourage users to review our filtering approach for their languages of interest and modify the processing if needed. To support this, we've made available all data removed by our filtering pipeline (see "Languages and available subsets" above for more info).
You should also probably consider complementing 🥂 FineWeb2 with specialized curated sources (such as Wikipedia, for example) as they will likely have better formatting than the wikipedia content included in 🥂 FineWeb2 (we did not tailor the processing to individual websites).
Additional Information
Licensing Information
The dataset is released under the Open Data Commons Attribution License (ODC-By) v1.0 license. The use of this dataset is also subject to CommonCrawl's Terms of Use.
Citation Information
@misc{penedo2025fineweb2pipelinescale,
title={FineWeb2: One Pipeline to Scale Them All -- Adapting Pre-Training Data Processing to Every Language},
author={Guilherme Penedo and Hynek Kydlíček and Vinko Sabolčec and Bettina Messmer and Negar Foroutan and Amir Hossein Kargaran and Colin Raffel and Martin Jaggi and Leandro Von Werra and Thomas Wolf},
year={2025},
eprint={2506.20920},
archivePrefix={arXiv},
primaryClass={cs.CL},
url={https://arxiv.org/abs/2506.20920},
}
- Downloads last month
- 1,539